首页信息

智能制造学院2022年助学金公示

发布时间:2022-09-29 10:28浏览次数:

智能制造学院2022年助学金公示


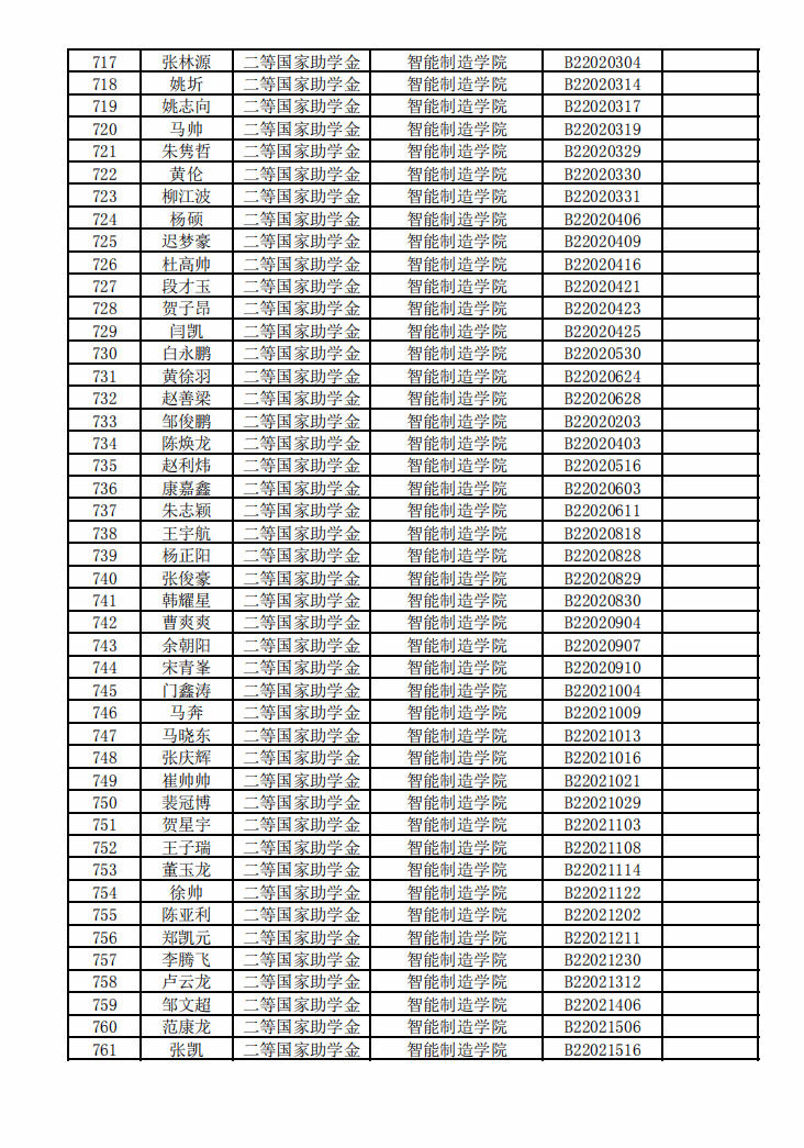
根据学校评选国家助学金的要求,经学院奖助学金评审工作组审核,我院已评选出2022年度国家助学金资助名单,共861人,现将名单进行公示,公示时间为:2022年9月29日—2022年10月4日,具体名单如下。若对以下名单有异议,请于2022年10月4日前向院办反映。电话:0379-65928210。


智能制造学院

2022年9月29日